Guvernul României a adoptat, în şedinţa de joi, 13 iulie 2023, o hotărâre pentru modificarea şi completarea Hotărârii Guvernului nr. 345/2022 privind declanşarea procedurilor de expropriere a tuturor imobilelor proprietate privată care constituie coridorul de expropriere al lucrării de utilitate publică de interes naţional „Varianta de ocolire Galaţi”.
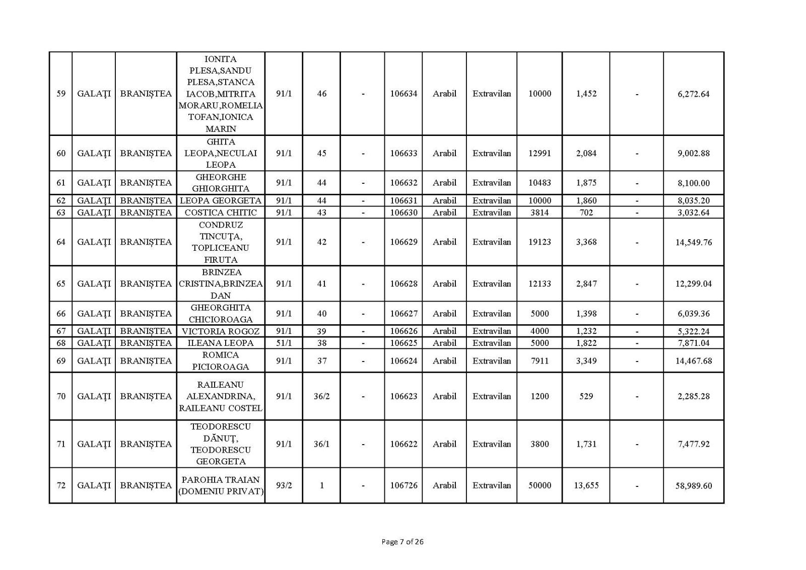
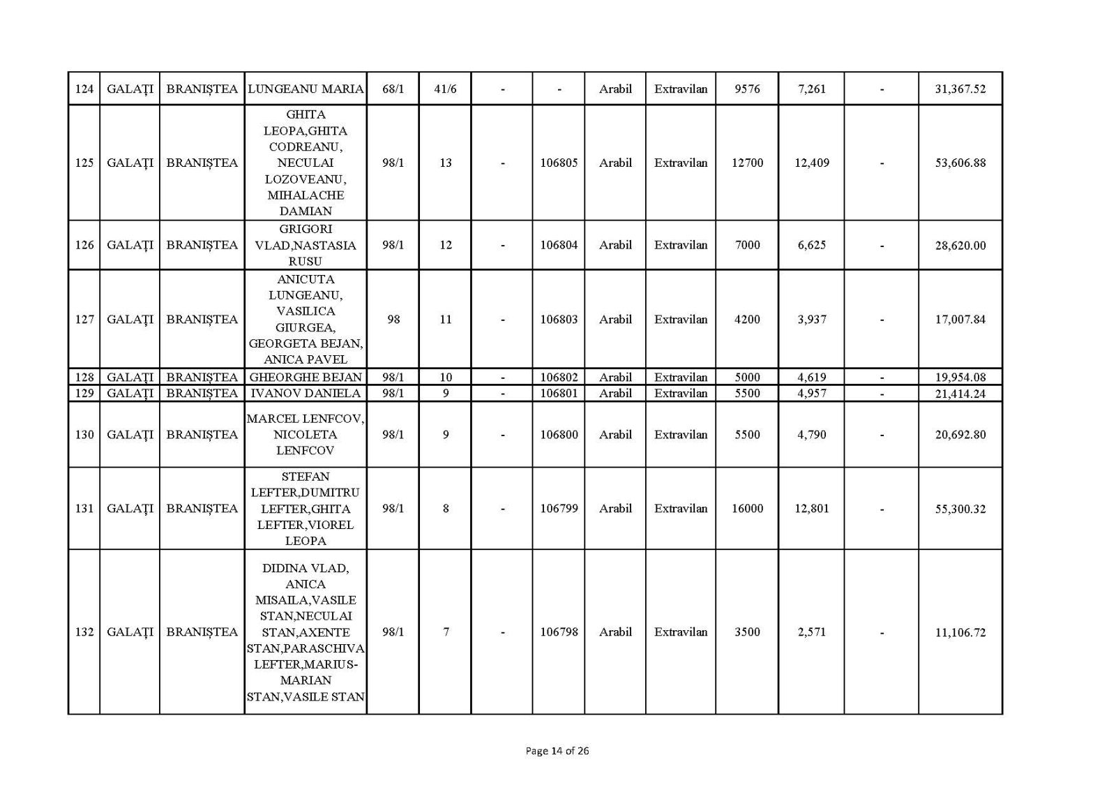
Astfel, HG nr. 345/2022 se modifică şi se completează cu prevederi ce vizează amplasamentul lucrării, lista cuprinzând imobilele proprietate privată supuse exproprierii, aflate pe raza localităţilor Braniştea şi Şendreni din judeţul Galaţi, lista cu proprietarii imobilelor expropriate, precum şi sumele individuale aferente despăgubirilor.
De asemenea, a fost aprobată şi lista cuprinzând imobilele proprietate publică a statului care fac parte din coridorul de expropriere, situate pe amplasamentul completat precum şi lista cuprinzând imobilele proprietate publică a unităţilor administrativ teritoriale ce vor fi expropriate.
Sumele individuale estimate de către expropriator pentru aceste imobile sunt în cuantum de 18.264.290.000 mii lei şi se alocă de la bugetul de stat, prin bugetul Ministerului Transporturilor şi Infrastructurii.
Modificările adoptate astăzi au fost necesare deoarece aceste terenuri nu au putut fi identificate la momentul aprobării exproprierilor iniţiale, în anul 2022, din cauza lipsei planurilor parcelare. După finalizarea procedurilor de expropiere vor putea fi demarate lucrările de execuţie care, potrivit contractului, ar trebui să dureze 3 ani şi jumătate.
Varianta de ocolire Galaţi va realiza legătura între DN 25 Galaţi – Tecuci, DJ 251 Galaţi – Smârdan, DN 26 Galaţi – Oancea, DN 24D Galaţi – Giurgiuleşti, pentru ca traficul greu să nu mai îngreuneze circulaţia rutieră din municipiul Galaţi. Varianta Ocolitoare a Galaţiului (Centura Mare) va avea o lungime de 33,6 km. Licitaţia pentru proiectare şi execuţie a fost câştigată de asocierea de firme SA&PE Construct SRL – Spedition UMB SRL – Tehnostrade SRL.
Monitorul de Galaţi vă prezintă, mai jos, listele cu imobilele expropriate! ↓






